Uso de la Clasificación de Los Ángeles en la esofagitis erosiva: análisis de la concordancia interobservador-intraobservador

Anahí Ayelén de los Rios ID· Juan Ignacio Olmos ID· José María Sanguinetti ID· Andrés Wonaga ID· Lorena Bortot ID· Esteban González Ballerga ID

Hospital de Clínicas José de San Martín.
Ciudad Autónoma de Buenos Aires, Argentina.

Acta Gastroenterol Latinoam 2025;55(4):350-357

Recibido: 04/11/2025 / Aceptado: 10/12/2025 / Publicado online el 23/12/2025 / https://doi.org/10.52787/agl.v55i4.559

boton-pdf

Resumen

Introducción. La enfermedad por reflujo gastroesofágico es una patología frecuente cuya prevalencia en países occidentales es del 10 al 20%. La Clasificación de Los Ángeles constituye el sistema endoscópico de referencia para categorizar la esofagitis erosiva. Objetivos. Evaluar la concordancia intra-interobservador en médicos residentes y especialistas en gastroenterología para clasificar la severidad de la esofagitis erosiva por reflujo por medio de la Clasificación de Los Ángeles. Materiales y métodos. Estudio de corte transversal, con 59 participantes (25 especialistas y 34 residentes) que clasificaron 40 imágenes endoscópicas según la Clasificación de Los Ángeles (10 imágenes se duplicaron). La concordancia interobservador se analizó mediante el índice kappa de Fleiss y la intraobservador con el kappa de Cohen. Resultados. La concordancia interobservador fue moderada en los especialistas (κ = 0,425; IC 95%; 0,39 – 0,46), aceptable en los residentes (κ = 0,297; IC 95%; 0,26-0,33), y la diferencia fue estadísticamente significativa (p < 0,001). La concordancia intraobservador global fue moderada
(κ = 0,525; IC 95%; 0,47 – 0,58).
Conclusión. Se observó una escasa concordancia interobservador-intraobservador al utilizar la Clasificación de Los Ángeles para esofagitis, con diferencias significativas al comparar grupos con diferente experiencia. Se recomienda la elaboración y aplicación de protocolos clínico-endoscópicos locales, que permitan uniformar criterios diagnósticos y terapéuticos, optimizar recursos y contribuir a la formación de especialistas en gastroenterología.

Palabras claves. Enfermedad por reflujo gastroesofágico, esofagitis erosiva, Clasificación de Los Ángeles, concordancia interobservador-intraobservador, variabilidad del observador, videoendoscopía digestiva alta.

Use of Los Angeles Classification in Erosive Esophagitis: analysis of inter-observer and intra-observer agreement

Summary

Introduction. Gastroesophageal reflux disease is a common condition with a prevalence of 10 to 20% in Western countries. The Los Angeles Classification is the standard endoscopic system for categorizing erosive esophagitis. Objectives. To evaluate intra- and inter-observer agreement among resident physicians and gastroenterology specialists in classifying the severity of reflux-related erosive esophagitis using the Los Angeles Classification. Materials and methods. A cross-sectional study was conducted with 59 participants (25 specialists and 34 residents) who classified 40 endoscopic images according to the Los Angeles Classification (10 images were duplicated). Inter-observer agreement was analyzed using Fleiss’s kappa index and intra-observer agreement using Cohen’s kappa. Results. Inter-observer agreement was moderate among specialists (κ = 0.425, IC95% 0.39 – 0.46) and acceptable among residents (κ = 0.297, IC95% 0.26-0.33), and the difference was statistically significant (p < 0.001). Overall intra-observer agreement was moderate (κ = 0.525, IC95% 0.47 – 0.58). Conclusion. Low inter- and intra-observer agreement was observed when using the Los Angeles Classification for esophagitis, with significant differences when comparing groups with different levels of experience. The development and application of local clinical-endoscopic protocols is recommended to standardize diagnostic and therapeutic criteria, optimize resources, and contribute to the training of gastroenterology specialists.

Keywords. Gastroesophageal reflux disease, erosive esophagitis, Los Angeles Classification, inter-observer and intra-observer agreement, observer variability, upper gastrointestinal endoscopy.

Abreviaturas

ERGE: Enfermedad por reflujo gastroesofágico.
VEDA: Videoendoscopía digestiva alta.
LA: Clasificación de Los Ángeles (por sus siglas en inglés).
SAGE: Sociedad Argentina de Gastroenterología.
DE: Desvío estándar.
κ: Índice kappa.
n: Número de endoscopistas.

Introducción

La Enfermedad por reflujo gastroesofágico (ERGE) constituye una de las patologías esofágicas más frecuentes en la práctica clínica;1 su prevalencia es del 10% – 20% en la población de países occidentales.2, 3 En Argentina, se reportó una prevalencia en los adultos del 23% de síntomas típicos de ERGE como pirosis y regurgitación al menos una vez por semana.4 La esofagitis erosiva, complicación presente hasta en el 30% de los pacientes con ERGE, se diagnostica por medio de Videoendoscopía digestiva alta (VEDA).2, 3, 5, 6

La identificación endoscópica de esofagitis es altamente específica (90 – 95%), pero tiene una sensibilidad de alrededor del 50%. La evaluación sistematizada de la esofagitis por medio de protocolos estandarizados resulta esencial para mejorar la calidad diagnóstica y terapéutica, asimismo para homogeneizar las bases de la formación médica y la calidad de los informes endoscópicos.7

Entre las múltiples clasificaciones endoscópicas históricas, como la de Savary-Miller, Hetzel-Dent y MUSE (metaplasia [M], ulceración [U], estenosis [S] y erosiones [E]), la Clasificación de Los Ángeles (LA), vigente desde 1999, es el sistema estandarizado más aceptado para categorizar la severidad de la esofagitis erosiva; clasifica las lesiones según su extensión y compromiso mucoso en los grados A a D.8, 9, 10

La correcta interpretación de la LA es fundamental, considerando que, según el Consenso de Lyon, una esofagitis de grado B o superior constituye evidencia objetiva de ERGE. Por ello, una clasificación errónea presenta implicancias clínicas relevantes ya que la ERGE deteriora la calidad de vida y aumenta los costos de atención médica tanto para los pacientes como para el sistema sanitario.11, 12, 3

A pesar de su aceptación global, diferentes estudios han evidenciado que su aplicación presenta una variabilidad interobservador significativa, especialmente en los grados intermedios de esofagitis.13-15, 6, 16-17

El objetivo de este estudio fue evaluar la concordancia intraobservador-interobservador en médicos residentes y especialistas en gastroenterología para clasificar la severidad de la esofagitis erosiva por reflujo por medio de la LA.

Materiales y métodos

Diseño del estudio

Se realizó un estudio observacional, transversal, en el cual médicos gastroenterólogos identificaron grados de esofagitis según la LA en imágenes endoscópicas provenientes de videoendoscopías digestivas altas identificadas en la división Gastroenterología del Hospital de Clínicas José de San Martín, Universidad de Buenos Aires, un hospital escuela de tercer nivel de atención de la Ciudad de Buenos Aires, Argentina.

Selección de imágenes

Se seleccionaron 40 imágenes endoscópicas de la unión gastroesofágica con diagnóstico de esofagitis erosiva. Para que todas las categorías estuvieran representadas, se seleccionaron imágenes que fueron informadas de la siguiente manera: 10 como grado A, 15 como grado B, 10 como grado C y 5 como grado D.

Las fotografías endoscópicas fueron obtenidas mediante endoscopios Pentax modelo EPK-i de alta definición, por dos de los endoscopistas con mayor experiencia en patología esofágica de la institución. Todas fueron anonimizadas y codificadas con un identificador único no visible para los participantes.

De las 40 imágenes, se eligieron aleatoriamente 10, las cuales fueron duplicadas para poder evaluar la concordancia intraobservador. Las 50 fotografías (40 originales + 10 duplicadas), finalmente se ordenaron de manera aleatoria para ser incorporadas al formulario digital enviado a cada participante.

Participantes

Cuarenta y seis médicos residentes de gastroenterología cursantes del último año de la carrera de posgrado de la Sociedad Argentina de Gastroenterología (SAGE) fueron invitados a participar.

El grupo de especialistas en gastroenterología con más de dos años de experiencia en la práctica endoscópica, pertenecientes a instituciones públicas y privadas de la Ciudad de Buenos Aires, se formó mediante un muestreo de bola de nieve, en el cual los primeros invitados fueron aquellos pertenecientes a la institución. Cada participante aportaba el contacto de, al menos, dos gastroenterólogos potencialmente elegibles. Se enviaron 40 invitaciones para contestar a la encuesta.

Un total de 59 endoscopistas respondieron a las encuestas. La tasa de respuesta fue del 68%.

Instrumento

Todos los participantes recibieron por correo electrónico un formulario digital anónimo (Google Forms) que completaron en línea. El mismo se encontraba estructurado en dos secciones:

1. Datos generales: edad, sexo, antigüedad en la práctica endoscópica, ámbito laboral (público o privado), frecuencia de uso de la LA y, en caso de no utilizarla, detallar si los motivos son la falta de tiempo en la práctica diaria o el desconocimiento de la clasificación, o si considera irrelevante su mención en el informe endoscópico.

2. Evaluación endoscópica: clasificación de las 50 fotografías endoscópicas según los grados A–D de la LA. Se define esofagitis erosiva de grado A a las rupturas o erosiones mucosas menores a 5 mm, no confluentes; de grado B a las erosiones mayores a 5 mm, no confluentes; de grado C a las erosiones confluentes que abarcan menos del 75% de la circunferencia de la mucosa; y de grado D a las erosiones confluentes que abarcan más del 75% de la circunferencia de la mucosa esofágica.

Análisis estadístico

Las variables continuas se expresaron como media ± DE, y las variables categóricas, como frecuencias absolutas y porcentajes.

La concordancia intraobservador se determinó con el índice kappa de Cohen (κ).

La concordancia interobservador se evaluó mediante el índice kappa de Fleiss (κ), que cuantifica el grado de acuerdo entre múltiples evaluadores y corrige el efecto del azar. Los valores de κ se interpretaron según criterios de Landis y Koch, donde 0 indica ausencia de concordancia y 1 concordancia total. Los valores intermedios de 0 a 0,20 se definen como concordancia leve; de 0,21 a 0,40 como concordancia aceptable; de 0,41 a 0,60 como concordancia moderada; de 0,61 a 0,80 como concordancia considerable, y valor superior a 0,81 como concordancia casi perfecta.

El análisis se realizó por separado para los dos grupos de especialistas en gastroenterología y residentes. Dado que la distribución probabilística del estadístico κ no es trivial y depende de supuestos difíciles de verificar en muestras finitas, se aplicó la técnica de remuestreo Bootstrap (1000 iteraciones). Este procedimiento permitió estimar intervalos de confianza sólidos para cada grupo y evaluar la significación estadística de la brecha observada entre los valores de κ de cada grupo sin asumir normalidad en la distribución de los resultados.

Se consideró un nivel de significación estadística de p < 0,05. El procesamiento estadístico se efectuó utilizando el software R (v4.5.1, 2025-06-13; compilación ucrt, “Great Square Root”; The R Foundation for Statistical Computing, Viena, Austria), sobre plataforma x86_64-w64-mingw32 (64 bits).

Aspectos éticos

Los médicos participantes otorgaron consentimiento informado. El protocolo fue aprobado por el Comité de Ética en Investigación del Hospital de Clínicas José de San Martín, Universidad de Buenos Aires. El estudio se realizó conforme a los principios de la Declaración de Helsinki (versión 2024), la Resolución 1480/2011 del Ministerio de Salud de la Nación y la Ley 25.326 de Protección de Datos Personales.

Resultados

Características de los participantes

Se analizaron las respuestas de 34 médicos residentes en formación y 25 especialistas en gastroenterología. La media de edad fue 37 +/- 8 años, con leve predominio del sexo femenino (52%). Ver Tabla 1.

Tabla 1. Descripción de los participantes

El 67,6% de los médicos residentes realizaba su formación en instituciones privadas, mientras que el 56% de los especialistas se desempeñaba tanto en el ámbito público como privado. Ambos grupos reportaron una mediana de 20 videoendoscopías digestivas altas semanales durante el último año, lo que equivale aproximadamente a 1000 endoscopías anuales.

Respecto a la antigüedad en la práctica endoscópica, el 48% de los especialistas declaró ejercer como endoscopista desde hacía más de diez años.

En relación al uso de LA, el 98,3% de los participantes indicó utilizarla siempre; mientras que el 5,9% mencionó la falta de tiempo durante la práctica diaria como motivo principal del uso limitado.

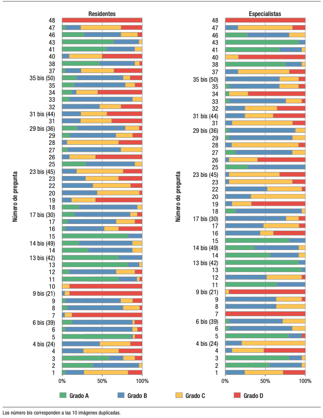
La totalidad de los participantes (n = 59) evaluó y clasificó 50 fotografías endoscópicas, y generó un total de 2950 clasificaciones individuales. En la Figura 1 se muestra, mediante gráficos de barras apiladas, la distribución de los grados de esofagitis según la LA asignados a cada imagen, diferenciados por grupo de participantes (especialistas y residentes). Cada barra representa el número de respuestas correspondientes a los distintos grados (A, B, C y D) para una misma imagen. Las diez imágenes duplicadas se identificaron con el sufijo «bis» y se ubicaron en paralelo a su imagen original, con el objetivo de visualizar la variabilidad intraobservador en la clasificación de las fotografías endoscópicas repetidas.

Figura 1. Distribución de los grados de esofagitis de LA de las 40 imágenes, por grupo

Variabilidad interobservador

La concordancia interobservador global, calculada mediante el índice kappa de Fleiss (κ), fue del 0,344 (IC95%; 0,31 – 0,38) lo que evidenció un nivel de concordancia aceptable entre todos los evaluadores. El análisis por subgrupos mostró una concordancia interobservador moderada entre los endoscopistas especialistas (κ = 0,425; IC95%; 0,39 – 0,46), y aceptable entre residentes (κ = 0,297; IC95%; 0,26 – 0,33). La diferencia en el grado de concordancia entre los especialistas y los residentes fue estadísticamente significativa (valor de p < 0,001). Ver figura 2.

La evaluación del nivel de concordancia interobservador según el grado de esofagitis de LA mostró una concordancia aceptable para los grados A y D (κ = 0,246 y κ = 0,261 respectivamente), leve para los grados B y C (κ = 0,151 y κ = 0,112 respectivamente). Ver figura 3.

Figura 2. Concordancia interobservador por grupo

Figura 3. Concordancia interobservador por grado en la clasificación de Los Ángeles

Variabilidad intraobservador

El análisis de concordancia intraobservador, realizado sobre las imágenes duplicadas, reveló un índice kappa de Cohen global de κ = 0,525 (IC95%; 0,47 – 0,58) correspondiente a una concordancia moderada en todos los endoscopistas evaluadores. Los valores desagregados por grupo fueron similares entre especialistas (κ = 0,53) y residentes (κ = 0,518).

Discusión

La enfermedad por reflujo gastroesofágico constituye una de las patologías más prevalentes en la práctica clínica. La evaluación endoscópica es una herramienta esencial para el diagnóstico de sus formas erosivas. En este contexto, la LA, propuesta y validada por Lundell y col. (1999), es el sistema de referencia para la categorización de la esofagitis erosiva dada su sencillez, reproducibilidad y aplicabilidad clínica.9

En el presente estudio se analizó la concordancia interobservador-intraobservador en la aplicación de dicha clasificación. Los resultados mostraron una concordancia interobservador de 0,425 en los especialistas y 0,297 en los residentes, diferencia que resultó estadísticamente significativa (p < 0,001).

Estos hallazgos son consistentes con los reportados por Kusano y col., 1999;18 Pandolfino y col., 2002;16 Dadgar y col., 2024,6 quienes también encontraron una relación positiva entre mayor experiencia clínica y mayor concordancia diagnóstica. Sin embargo, los valores de κ obtenidos permanecen por debajo de los considerados óptimos, lo que refuerza la necesidad de revisar y estandarizar los criterios operativos de la clasificación.

Al igual que lo reportado por Nasseri-Moghaddam y col.,19 se observó menor concordancia interobservador en los grados intermedios (B y C), lo cual adquiere especial relevancia clínica considerando que, según los actuales criterios del Consenso de Lyon,3 el diagnóstico definitivo de ERGE se establece a partir de una esofagitis de grado B, condicionando de este modo, la indicación de tratamiento con inhibidores de la bomba de protones y, potencialmente, el seguimiento endoscópico. Una clasificación errónea en estos grados puede derivar en sobretratamiento o subtratamiento, con repercusiones clínicas en la calidad de vida del paciente y en los costos del sistema sanitario.7, 11, 20

Por otra parte, la concordancia intraobservador fue moderada en ambos grupos (κ = 0,52), lo que sugiere que la variabilidad observada no se explica únicamente por la experiencia, sino también por la dificultad inherente de categorizar lesiones sutiles dentro del sistema LA, especialmente en los grados intermedios.

Nuestros resultados permiten entrever la necesidad de fortalecer la formación estructurada y continua en la interpretación endoscópica de la esofagitis erosiva, mediante entrenamientos basados en atlas estandarizados y evaluaciones sistemáticas de competencia diagnóstica.

Investigaciones recientes destacan el potencial de la inteligencia artificial como herramienta complementaria, capaz de alcanzar niveles de concordancia equivalentes o superiores a los de endoscopistas humanos en casos de clasificación compleja, lo que abre la posibilidad de su integración como herramienta de apoyo diagnóstico, lo cual podría representar un avance significativo hacia la reducción de la variabilidad interobservador y la optimización de la precisión diagnóstica.21, 22, 23

Entre las limitaciones del presente estudio, se reconoce que la evaluación de esofagitis erosiva se basó en imágenes estáticas previamente seleccionadas, lo cual puede no reflejar completamente las condiciones de la práctica clínica habitual de una evaluación endoscópica en tiempo real, donde la observación dinámica desde distintos ángulos contribuye al diagnóstico final. Asimismo, no se brindó retroalimentación estructurada a los participantes debido al carácter anónimo de la encuesta, lo que podría haber constituido una oportunidad de aprendizaje. Los resultados deben utilizarse con cautela debido al tamaño de la muestra.

Entre las fortalezas, se destaca la participación multicéntrica y heterogénea, que incluyó médicos residentes y especialistas con diversos niveles de experiencia, lo que confiere representatividad a los resultados obtenidos.

Se recomienda la elaboración y aplicación de protocolos clínico-endoscópicos locales, que permitan uniformar criterios diagnósticos y terapéuticos, optimizar recursos y contribuir a la formación de especialistas en gastroenterología.

Conclusión

Los resultados de nuestro estudio mostraron una escasa concordancia interobservador-intraobservador al utilizar la LA para esofagitis, principalmente en los grados intermedios.

A futuro, se plantea el interrogante de la necesidad de una revisión o actualización de LA para mejorar globalmente el nivel de concordancia. Asimismo, consideramos que la implementación de estrategias de capacitación continua, el uso de protocolos estandarizados y la adopción de herramientas basadas en inteligencia artificial podrían optimizar la interpretación de la esofagitis erosiva, minimizando la variabilidad diagnóstica y terapéutica, potenciando de este modo la calidad educativa y asistencial.

Consentimiento para la publicación. Se obtuvo el consentimiento informado por escrito de los participantes, para la publicación de los datos y/o imágenes clínicas en beneficio de la ciencia. La copia del formulario de consentimiento se encuentra disponible para los editores de esta revista.

Propiedad intelectual. Los autores declaran que los datos, las figuras y las tablas presentes en el manuscrito son originales y se realizaron en sus instituciones pertenecientes.

Financiamiento. Los autores declaran que no hubo fuentes de financiación externas.

Conflicto de interés. Los autores declaran no tener conflic­tos de interés en relación con este artículo.

Aviso de derechos de autor

© 2025 Acta Gastroenterológica Latinoamericana. Este es un artículo de acceso abierto publicado bajo los términos de la Licencia Creative Commons Attribution (CC BY-NC-SA 4.0), la cual permite el uso, la distribución y la reproducción de forma no comercial, siempre que se cite al autor y la fuente original.

Cite este artículo como: de los Rios A A, Olmos J I, Sanguinetti J M y col. Uso de la Clasificación de los Ángeles en la esofagitis erosiva: análisis de la concordancia interobservador-intraobservador. Acta Gastroenterol Latinoam. 2025;55(4):350-357. https://doi.org/10.52787/agl.v55i4.559

Referencias

  1. Meira AT dos S, Tanajura D, Viana I dos S. Clinical and endoscopic evaluation in patients with gastroesophageal symptoms. Arq Gastroenterol. 2019 Mar;56(1):51-4.
  2. Badillo R, Francis D. Diagnosis and treatment of gastroesophageal reflux disease. World J Gastrointest Pharmacol Ther. 2014 Aug 6;5(3):105-12.
  3. Gyawali CP, Yadlapati R, Fass R, Katzka D, Pandolfino J, Savarino E, y et al. Updates to the modern diagnosis of GERD: Lyon consensus 2.0. Gut. 2024 Jan 5;73(2):361-71.
  4. Chiocca JC, Olmos JA, Salis GB, Soifer LO, Higa R, Marcolongo M, et al. Prevalence, clinical spectrum and atypical symptoms of gastro-oesophageal reflux in Argentina: a nationwide population-based study. Aliment Pharmacol Ther. 2005 Aug 15;22(4):331-42.
  5. Gyawali CP, Kahrilas PJ, Savarino E, Zerbib F, Mion F, Smout AJPM, et al. Modern diagnosis of GERD: The Lyon consensus. Gut. 2018 Jul;67(7):1351-62.
  6. Dadgar K, Wang D, Yuan Y, Sinclair P, Sharma P, Armstrong D. Training and assessment of clinician’s utilization of the Los Angeles classification for reflux esophagitis. Foregut (Thousand Oaks). 2025 Mar;5(1):27-34.
  7. Zhang D, Liu S, Li Z, Wang R. Global, regional and national burden of gastroesophageal reflux disease, 1990-2019: update from the GBD 2019 study. Ann Med. 2022 Dec;54(1):1372-84.
  8. Vakil N, van Zanten SV, Kahrilas P, Dent J, Jones R, Global Consensus Group. The Montreal definition and classification of gastroesophageal reflux disease: a global evidence-based consensus. Am J Gastroenterol. 2006 Aug;101(8):1900-20; quiz 1943.
  9. Lundell LR, Dent J, Bennett JR, Blum AL, Armstrong D, Galmiche JP, et al.. Endoscopic assessment of oesophagitis: clinical and functional correlates and further validation of the Los Angeles classification. Gut. 1999 Aug;45(2):172-80.
  10. ASGE Standards of Practice Committee, Desai M, Ruan W, Thosani NC, Amaris M, Scott JS, et al. American Society for Gastrointestinal Endoscopy guideline on the diagnosis and management of GERD: summary and recommendations. Gastrointest Endosc. 2025 Feb;101(2):267-84.
  11. Katz PO, Dunbar KB, Schnoll-Sussman FH, Greer KB, Yadlapati R, Spechler SJ. ACG clinical guideline for the diagnosis and management of gastroesophageal reflux disease. Am J Gastroenterol. 2022 Jan;117(1):27-56.
  12. Kulig M, Leodolter A, Vieth M, Schulte E, Jaspersen D, Labenz J, et al. Quality of life in relation to symptoms in patients with gastro-oesophageal reflux disease– an analysis based on the ProGERD initiative. Aliment Pharmacol Ther. 2003 Oct 15;18(8):767-76.
  13. Spechler SJ, Laine L, DeVault KR, Nabulsi A, Hunt B, Katz P. Comparison of Los Angeles grades of erosive esophagitis scored by local investigators vs central adjudicators in a clinical trial. Clin Gastroenterol Hepatol. 2024 Dec;22(12):2526-8.e1.
  14. Olmos JA, Pandolfino JE, Piskorz MM, Zamora N, Valdovinos Díaz MA, Remes Troche JM, et al. Consenso latinoamericano de diagnóstico de la enfermedad por reflujo gastroesofágico. Acta Gastroenterol Latinoam. 2022 Jun 27;52(2):175-240.
  15. John J, Taunk P, Jacobs J, Blonski W, Tsalatsanis A, Kumar A. S612 diagnostic accuracy and grading of esophagitis: A cross-sectional analytic study. Am J Gastroenterol. 2024 Oct;119
    (10S):S422–S422.
  16. Pandolfino JE, Vakil NB, Kahrilas PJ. Comparison of inter- and intraobserver consistency for grading of esophagitis by expert and trainee endoscopists. Gastrointest Endosc. 2002 Nov;56(5):639-43.
  17. Lee SH, Jang BI, Kim KO, Jeon SW, Kwon JG, Kim EY, et al. Endoscopic experience improves interobserver agreement in the grading of esophagitis by Los Angeles classification: conventional endoscopy and optimal band image system. Gut Liver. 2014 Mar;8(2):154-9.
  18. Kusano M, Ino K, Yamada T, Kawamura O, Toki M, Ohwada T, et al. Interobserver and intraobserver variation in endoscopic assessment of GERD using the “Los Angeles” classification. Gastrointest Endosc. 1999 Jun;49(6):700-4.
  19. Nasseri-Moghaddam S, Razjouyan H, Nouraei M, Alimohammadi M, Mamarabadi M, Vahedi H, et al. Inter- and intra-observer variability of the Los Angeles classification: a reassessment. Arch Iran Med. 2007 Jan;10(1):48-53.
  20. Miwa H, Shiotani A, Takeda M, Eda M, Kato T, Yajima T. Health care cost analysis of PPI or P-CAB-first treatment in patients with gastroesophageal reflux disease. J Clin Gastroenterol. 2023 Apr 1;57(4):370-9.
  21. Kommuru S, Adekunle F, Niño S, Arefin S, Thalvayapati SP, Kuriakose D, et al. Role of artificial intelligence in the diagnosis of gastroesophageal reflux disease. Cureus. 2024 Jun;16(6):e62206.
  22. Ge H, Zhou X, Wang Y, Xu J, Mo F, Chao C, et al. Development and validation of deep learning models for the multiclassification of reflux esophagitis based on the Los Angeles classification. J Healthc Eng. 2023 Feb 18;2023(1):7023731.
  23. Wang CC, Chiu YC, Chen WL, Yang TW, Tsai MC, Tseng MH. A deep learning model for classification of endoscopic gastroesophageal reflux disease. Int J Environ Res Public Health. 2021 Mar 2;18(5):2428.

Correspondencia: Anahí Ayelén de los Rios

Correo electrónico: aye103010@gmail.com

 Acta Gastroenterol Latinoam 2025;55(4):350-357

Otros Artículos

Insuficiencia pancreática exocrina en cirrosis hepática: estudio de corte transversal

Víctor Henríquez Auba1 ID · Carmen Hurtado2 ID· Carla Mancilla Asencio1 ID· Pauline Herman1 ID …